• Предмет: Алгебра
  • Автор: tostaevaba
  • Вопрос задан 3 года назад

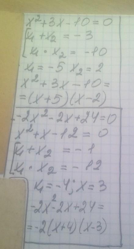
2. Разложите на множители квадратный трёхчлен
а) х^2 + 3х - 10; б)-2x^2-2x+24

Ответы

Ответ дал: manyny06
1

Ответ:

решение на фотографии

Приложения:
Вас заинтересует