Ответы
Ответ дал:
0
Ответ:
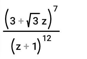
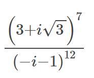
Его не решить, максимум, что можно сделать это сократить
Пошаговое объяснение:
i-приняла за z
Продолжение смотри в приложении
Приложения:

Вас заинтересует
2 года назад
2 года назад
2 года назад
7 лет назад
9 лет назад
9 лет назад