• Предмет: Физика
  • Автор: grishanina95
  • Вопрос задан 11 лет назад

Во сколько раз движущийся электрон со скоростью υ = 0,999с тяжелее покоящегося?

Ответы

Ответ дал: jam321
0
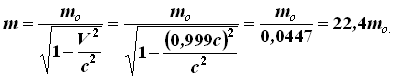
Запишем формулу расчета релятивистской массы m электрона для скорости, с которой он движется по   условию задачи:                                                         В приведенной формуле mо – масса покоя электрона, с – скорость света. В результате решения задачи получили, что при этой скорости электрон "тяжелее" покоящегося электрона в 22,4 раза.
Приложения:
Ответ дал: grishanina95
0
а это решение подробное?)
Вас заинтересует