• Предмет: Алгебра
  • Автор: ammmm18
  • Вопрос задан 3 года назад

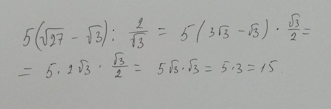
5(корень 27-корень3):2/корень3

Ответы

Ответ дал: gggarbakov
1

Ответ:

Смотри решение на фото

Объяснение:

Надеюсь на лучший ответ

Приложения:
Ответ дал: liza7752
1
Прикрепляю фото решения
Приложения:
Вас заинтересует