• Предмет: Алгебра
  • Автор: llisa133pen0uq
  • Вопрос задан 3 года назад

найти нули функции f(x)=0,5x^2-3x-2​

Ответы

Ответ дал: pprpxrpp
11

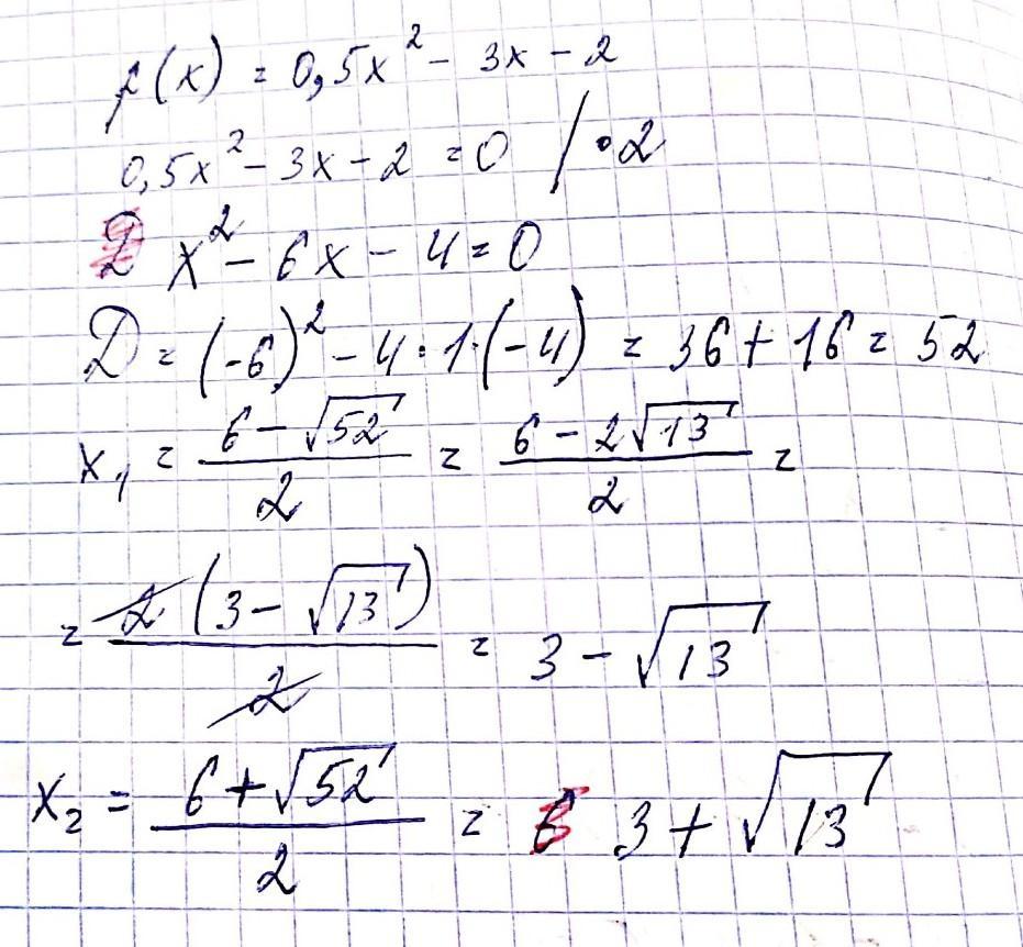
Нули функции в точках x1 = 3 - √13 и x2 = 3 + √13. Да-да...

Приложения:
Ответ дал: Техномозг
4

ТЕОРИЯ:

— Что такое нули функции?

— Нули функции - это значения аргумента x, при которых функция равна нулю. То есть точки пересечения графика с осью X.

— Чтобы найти нули функции, нужно решить уравнение y(x)=0

РЕШЕНИЕ:

f(x)=0,5x^2-3x-2\\\\f(x)=0\\\\0,5x^2-3x-2=0\\\\D=b^2-4ac\\\\D=(-3)^2-4\cdot0,5\cdot(-2)=9+4=13\\\\x_1=\dfrac{-(-3)+\sqrt{13}}{2\cdot0,5} = \dfrac{3+\sqrt{13}}{1} = 3+\sqrt{13} \\ \\\\x_2=\dfrac{-(-3)-\sqrt{13}}{2\cdot0,5} = \dfrac{3-\sqrt{13}}{1} = 3-\sqrt{13}

Нули функции в точках

x₁ = 3+√13,

x₂ = 3-√13.

\bold{OTBET: 3+\sqrt{13}; \ 3-\sqrt{13}}


Техномозг: Удачи! Если есть вопросы - задавй
llisa133pen0uq: спасибо!
Техномозг: Пожалуйста
Вас заинтересует