• Предмет: Алгебра
  • Автор: csmangust
  • Вопрос задан 3 года назад

Решить систему уравнений! Есть информация, что эта задача с Турнира Математических боев Ляшка

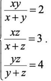
Приложения:

Ответы

Ответ дал: igorShap
1

\left\{\begin{array}{c}\dfrac{xy}{x+y}=2\\\dfrac{xz}{x+z}=3\\\dfrac{yz}{y+z}=4\end{array}\right. =>\left\{\begin{array}{c}\dfrac{1}{y}+\dfrac{1}{x}=\dfrac{1}{2}\\\dfrac{1}{z}+\dfrac{1}{x}=\dfrac{1}{3}\\\dfrac{1}{z}+\dfrac{1}{y}=\dfrac{1}{4}\end{array}\right. => \left\{\begin{array}{c}\dfrac{2}{x}+\dfrac{2}{y}+\dfrac{2}{z}=\dfrac{13}{12}\\\dfrac{1}{z}+\dfrac{1}{x}=\dfrac{1}{3}\\\dfrac{1}{z}+\dfrac{1}{y}=\dfrac{1}{4}\end{array}\right.=>

=> \left\{\begin{array}{c}\dfrac{1}{x}+\dfrac{1}{y}+\dfrac{1}{z}=\dfrac{13}{24}\\\dfrac{1}{y}=\dfrac{5}{24}\\\dfrac{1}{x}=\dfrac{7}{24}\end{array}\right. => \left\{\begin{array}{c}\dfrac{1}{x}=\dfrac{1}{24}\\\dfrac{1}{y}=\dfrac{5}{24}\\\dfrac{1}{x}=\dfrac{7}{24}\end{array}\right.=>\left\{\begin{array}{c}x=24\\y}=4\dfrac{4}{5}\\x=3\dfrac{3}{7}\end{array}\right.

Вас заинтересует