• Предмет: Алгебра
  • Автор: ob4502826
  • Вопрос задан 3 года назад

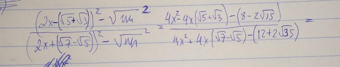
Помогите пожалуйста. ​

Приложения:

nafanya2014: =x(x-√5)-√3(x-√5))/(x(x+√5)-√3(x+√5))=(x-√3)/(x-√7)
nafanya2014: опечатки, см в комментах ко второму решению

Ответы

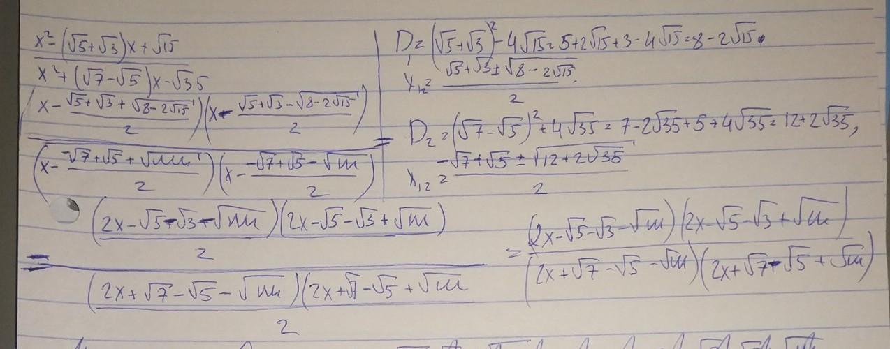
Ответ дал: liptolip
0

Ответ:

это какое-то ужасное уравнение, пока дошла только до такого момента, возможно все намного проще, еще подумаю, мб в течение 30 минут пришлю, если что-то будет

Приложения:

liptolip: не,дальше не получается (
Вас заинтересует