ПОМОГИТЕ ПЛИЗ
Вычислите, используя свойство арифметического квадратного корня √(0,09∙81).
Приложения:

Ответы
Ответ дал:
1
Ответ:
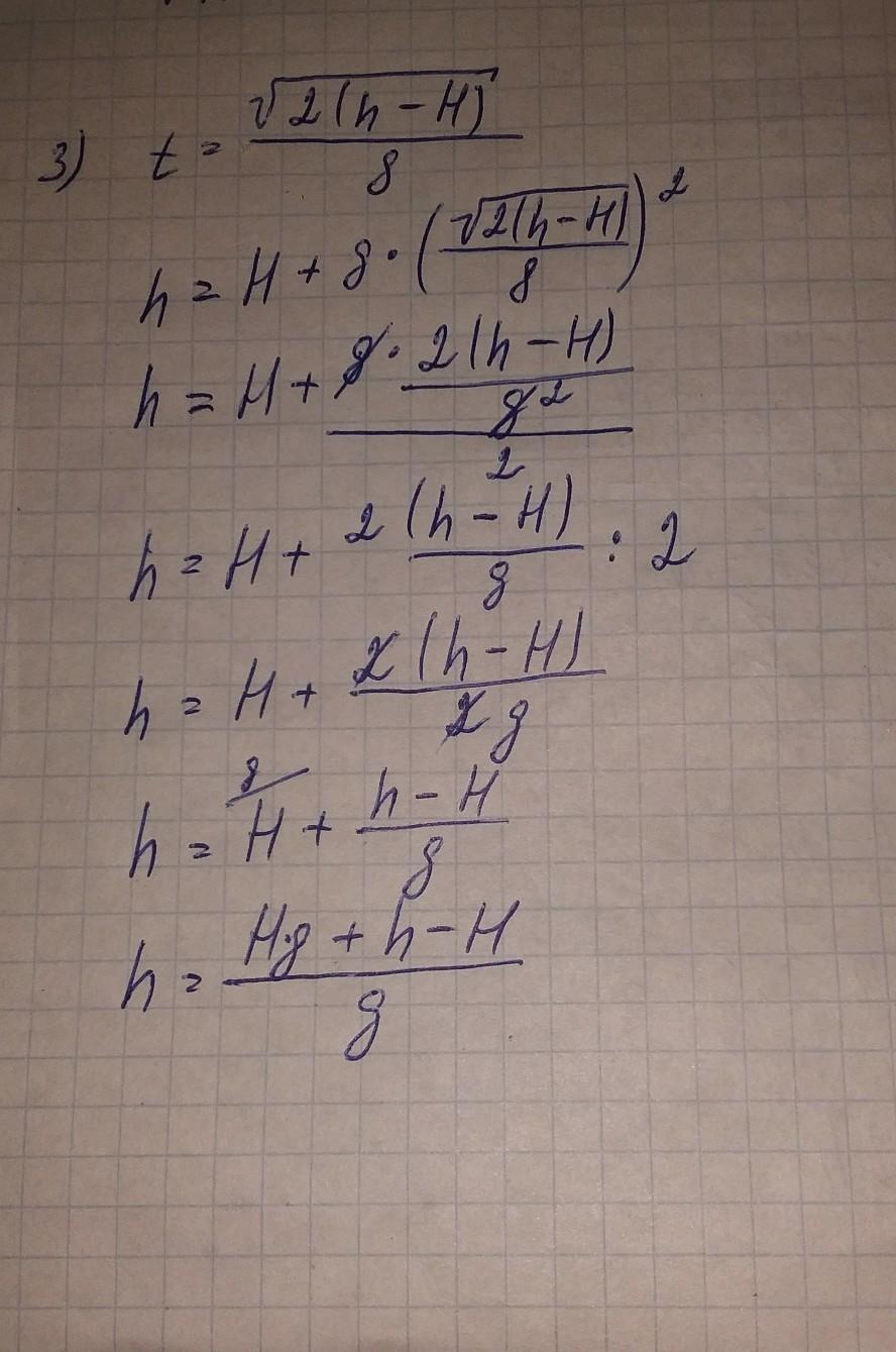
Все на фото 1,2,3, и на последнем листе 4.
Приложения:



Аноним:
Спасибо!
Вас заинтересует
2 года назад
2 года назад
2 года назад
7 лет назад
7 лет назад
9 лет назад