Ответы
Ответ дал:
1
Ответ:
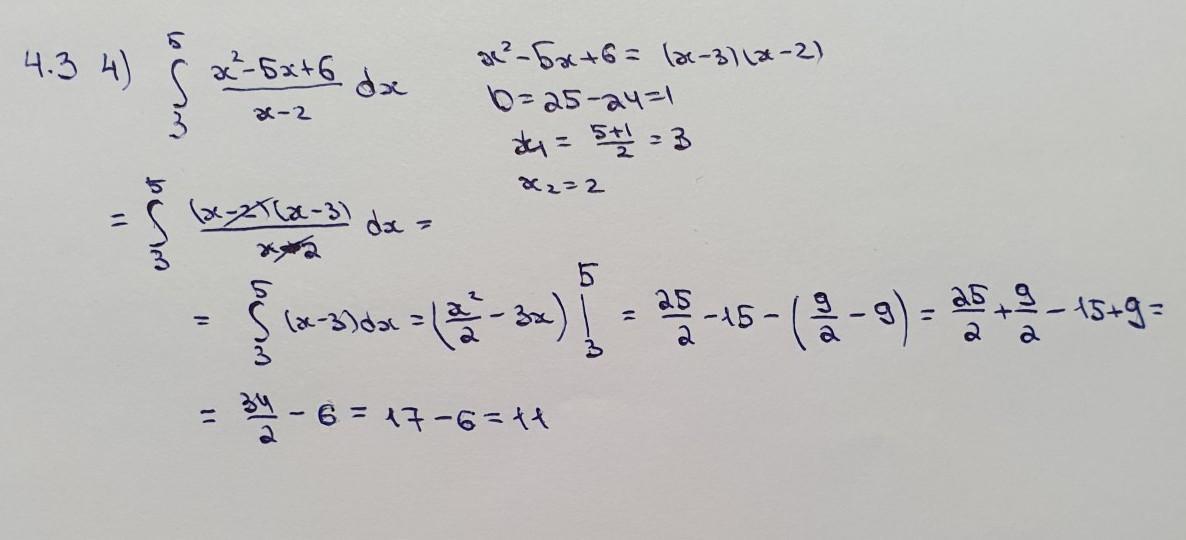
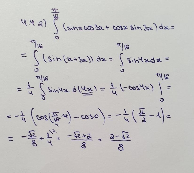
решение на фотографиях
Приложения:


rinochka1375:
спасибо большое!
Вас заинтересует
2 года назад
2 года назад
7 лет назад
7 лет назад
9 лет назад
9 лет назад