• Предмет: Алгебра
  • Автор: dazzzzy180
  • Вопрос задан 3 года назад

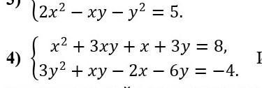
Решите систему уравнений
Помогите!!!! Срочно!!!!!​

Приложения:

Ответы

Ответ дал: tamarabernukho
1

Ответ:

(1;1) (7;-2)

Объяснение:

------------------------------------

Приложения:
Вас заинтересует