• Предмет: Алгебра
  • Автор: umed2086
  • Вопрос задан 3 года назад

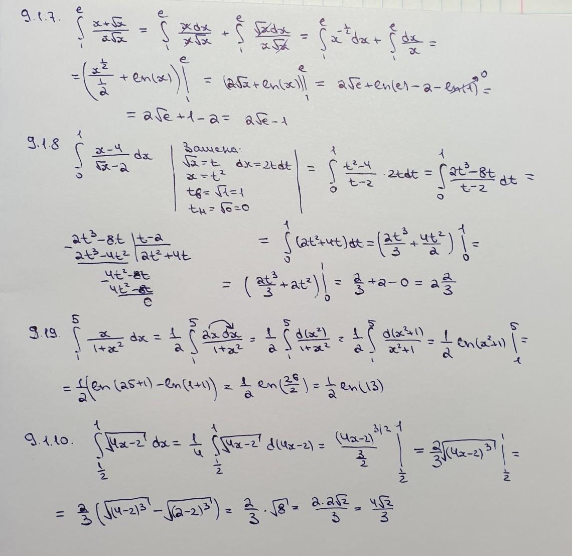
Помогите решить интегралы кроме 9.1.3 и 9.1.5. Спссибо

Приложения:

Ответы

Ответ дал: Miroslava227
1

Ответ:

решение на фотографиях

Приложения:
Вас заинтересует