• Предмет: Химия
  • Автор: elizaveta5525
  • Вопрос задан 3 года назад

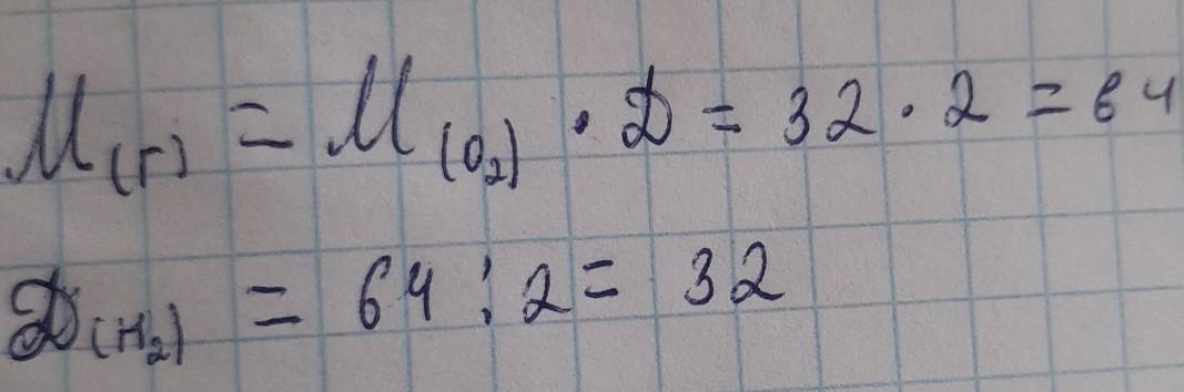
плотность некоторого газа по кислоролу равна 2. чему равна плотность этого газа по водороду​

Ответы

Ответ дал: tolibaevazumrad
1

Ответ:

плотность газа по водороду будет 32

Приложения:
Вас заинтересует