• Предмет: Алгебра
  • Автор: dfdryftdt
  • Вопрос задан 3 года назад

срочно помогите пожалуйста!

Приложения:

Ответы

Ответ дал: lizapanzova2005
1

Ответ:

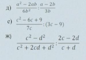
1) (a²-2ab)/(6b²) : (a-2b)/(3b) = (a(a-2b))/(6b²) * (3b)/(a-2b) = a/(2b)

2) (c²-6c+9)/(7c) : (3c-9) = ((c-3)²)/(7c) * 1/(3(c-3)) = (c-3)/(7c) * 1/3

3) (c²-d²)/(c²+2cd+d²) : (2c-2d)/(c+d) = ((c+d)(c-d))/((c+d)²) * (c+d)/(2(c-d)) =

= 1/2 = 0.5

Вас заинтересует