Ответы
Ответ дал:
1
Ответ:
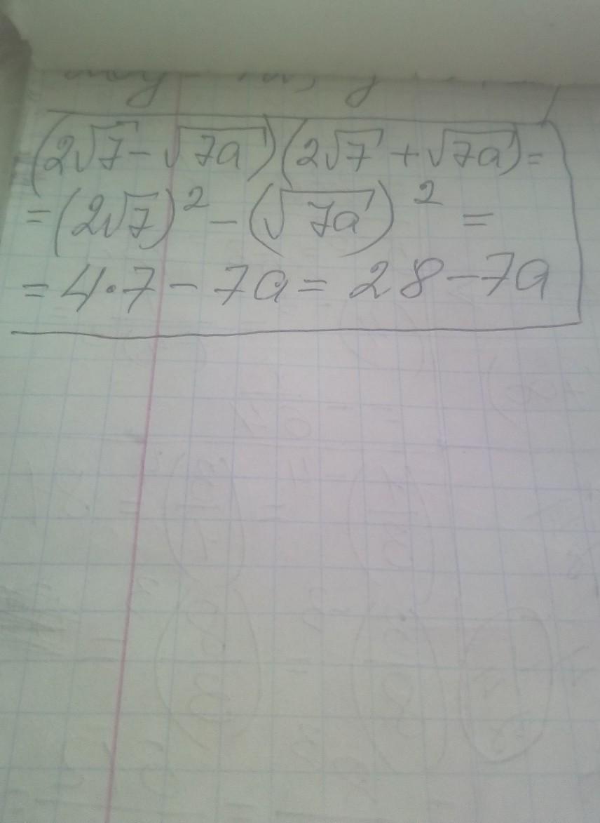
решение на фотографии
Приложения:

vladavdeev2411:
больше спасибо
Вас заинтересует
2 года назад
2 года назад
2 года назад
2 года назад
7 лет назад
7 лет назад
9 лет назад