• Предмет: Алгебра
  • Автор: andreykiselov7
  • Вопрос задан 3 года назад

Помогите пожалуйста кто нибудь

Приложения:

Ответы

Ответ дал: cyfra17
2

Ответ:

Объяснение:

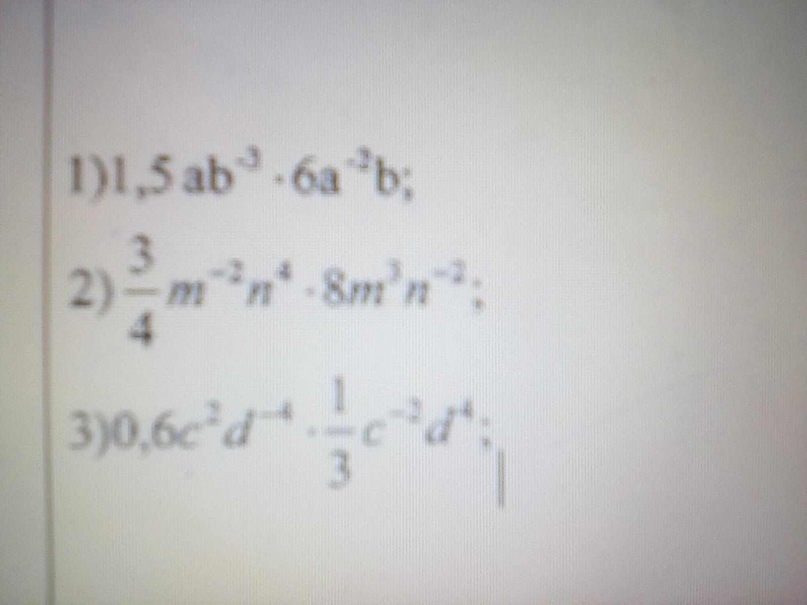
1)   1,5ab^(-3) *6a^(-2)b=9a^(-1)b^(-5)=9/ab^5

2)3/4m^(-2)n^4 * 8m³n^(-2)=3/4 *8mn^2=6mn²

3)0,6c²d^(-4) *1/3c^(-2)d^4=0,2c^0d^0=0,2*1*1=0,2

Ответ дал: zinaidazina
2

1)   1,5ab^{-3}*6a^{-2} b=9a^{1-2} b^{-3+1}=9a^{-1} b^{-2} =\frac{9}{ab^2}

2)   \frac{3}{4}m^{-2}n^{4}*8m^3n^{-2}= \frac{3*8}{4}m^{-2+3}n^{4-2}=6m^1n^{2}= 6mn^2

3)  0,6c^2d^{-4}*\frac{1}{3}c^{-2}d^{4}=\frac{0,6}{3}c^{2-2}d^{-4+4}=0,2c^0d^0=0,2*1*1=0,2

Вас заинтересует