Помогите пожалуйста
Найдите координаты вершины параболы:
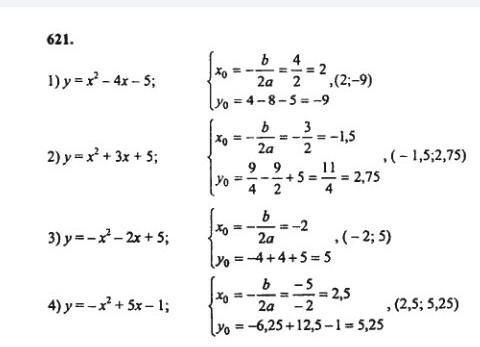
1) у = х^2 - 4х – 5;
2) у = х^2 + 3х + 5;
3) у = х^2 – 2х + 5;
4) у = -х^2 + 5х – 1.
Ответы
Ответ дал:
7
ооооооооооооооооооооооооооо
Приложения:

DaLeRSh:
спасибо большое
Вас заинтересует
2 года назад
2 года назад
2 года назад
7 лет назад
9 лет назад
9 лет назад