• Предмет: Алгебра
  • Автор: moknelakne
  • Вопрос задан 3 года назад

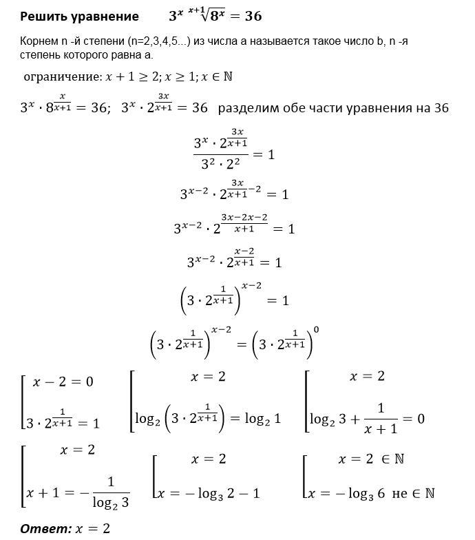
Помогите решить это уравнение, подробно, пожалуйста. Даю 45 баллов.

Приложения:

Ответы

Ответ дал: tamarabernukho
2

Ответ:

x=2

Объяснение:

Посмотрите решение

Приложения:
Вас заинтересует