• Предмет: Алгебра
  • Автор: ChernyshVika1367
  • Вопрос задан 3 года назад

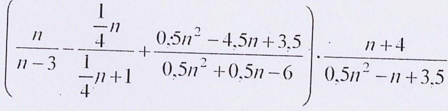
Помогите, пожалуйста! Выполните действия

Приложения:

kamilla9436: опа
kamilla9436: где закрывается скобка это умножения?
ChernyshVika1367: Кажется, хорошо видно. После дроби с числителем 0,5nn - 4,5n + 3,5

Ответы

Ответ дал: zinaidazina
0

   (\frac{n}{n-3}-\frac{\frac{1}{4} n}{\frac{1}{4} n+1}+\frac{0,5n^2-4,5n+3,5}{9,5n^2+0,5n-6})*\frac{n+4}{0,5n^2-n+3,5}=\frac{2}{n-3}

1)   \frac{\frac{1}{4} n}{\frac{1}{4} n+1}=\frac{\frac{1}{4} n}{\frac{1}{4}* (n+4)}=\frac{n}{n+4}

2)   \frac{0,5n^2-4,5n+3,5}{9,5n^2+0,5n-6}=\frac{0,5*(n^2-9n+7)}{0,5*(n^2+n-12)}= \frac{n^2-9n+7}{n^2+n-12}=\frac{n^2-9n+7}{(n-3)*(n+4)}

3)   \frac{n}{n-3}-\frac{n}{n+4} + \frac{n^2-9n+7}{(n-3)*(n+4)}=\frac{n*(n+4)-n*(n-3)+n^2-9n+7}{(n-3)*(n+4)}=\frac{n^2+4n-n^2+3n+n^2-9n+7}{(n-3)*(n+4)}=

   =\frac{n^2-2n+7}{(n-3)*(n+4)}

4)   \frac{n+4}{0,5n^2-n+3,5} =\frac{n+4}{0,5*(n^2-2n+7)}

5)  \frac{n^2-2n+7}{(n-3)(n+4)} *\frac{n+4}{0,5*(n^2-2n+7)}=\frac{(n^2-2n+7)*(n+4)}{(n-3)*(n+4)*0,5*(n^2-2n+7)}=\frac{1}{0,5*(n-3)}=\frac{2}{n-3}

Вас заинтересует