Ответы
Ответ дал:
2
Ответ:
Объяснение:
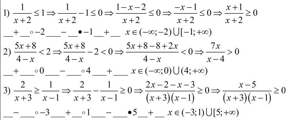
во вложении
Приложения:

Вас заинтересует
2 года назад
2 года назад
2 года назад
7 лет назад
7 лет назад
9 лет назад