• Предмет: Алгебра
  • Автор: FaNBoY22
  • Вопрос задан 3 года назад

Срочно нужна сразу пешите ответ даю 70 балов

Приложения:

Ответы

Ответ дал: Cimbaksu
0

Ответ:

1) 15a^6b

2) - 1/3

Объяснение:

1) 40a^7b^3 : 8ab^2 = 5a^6b

3*5a^6b = 15a^6b

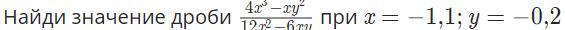
2) разложим числитель и знаменатель, затем сократим дробь:

x(2x-y)(2x+y)/6x(2x-y) = 2x+y/6

теперь подставляем значение x и y

2x+y/6 = 2*(-1.1) + (-0.2) / 6 = - 1/3

Ответ дал: mmb1
0

40a^7b^3 : 8ab^2 = 5a^6b

умножаем числитель и знаменатель на 5a^6b

\frac{3}{8ab^{2} } =  \frac{3}{8ab^{2} } * \frac{5a^{6}b }{5a^{6}b } = \frac{15a^{6}b }{40a^{7}b^{3}  }

-------

\frac{4x^{3} - xy^{2}  }{12x^{2}- 6xy } = \frac{x(4x^{2} -y^{2})  }{6x(2x - y)} =  \frac{(2x -y)*(2x + y)  }{6(2x - y)} = \frac{2x + y}{6}  \\x = -1.1\\y = -0.2\\\frac{2x + y}{6} = \frac{-2.2 - 0.2}{y} = \frac{-2.4}{6} = -0.4

Вас заинтересует