• Предмет: Алгебра
  • Автор: shirot
  • Вопрос задан 3 года назад

x^2-12x+20/x-10>=0

Решите пж​

Ответы

Ответ дал: iveriy432
2

Объяснение:

x^2-2x-10x+20/x-10>0

x(x-2)-10(x-2)/x-10>0

x-2>0

x>2

x не равно 10

х принадлежит (2,10)(10,+бесконечности)

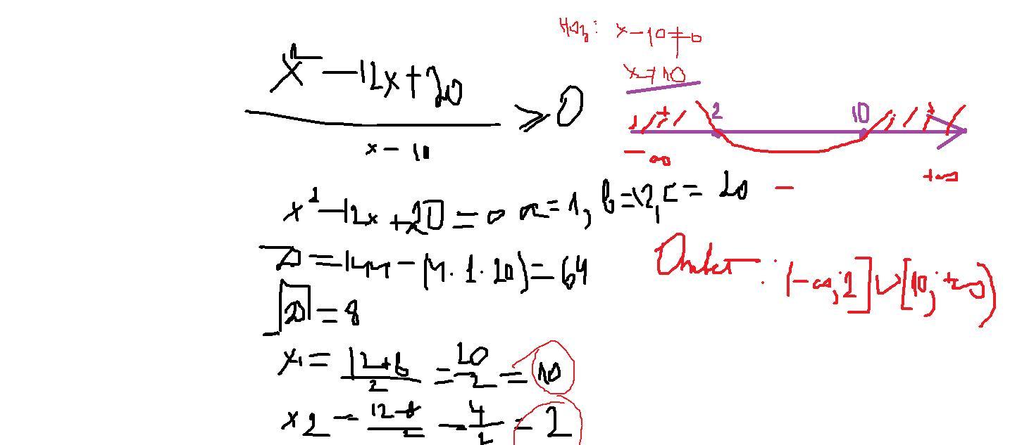
Ответ дал: про100АделинаВай
0

Ответ:

Посмотрите ниже

Объяснение:

Извините, что так смазано получилось, надеюсь, что помогла

Если что ответ получился (минус бесконечность;2]\left[10; плюс бесконечность)

Приложения:
Вас заинтересует