• Предмет: Алгебра
  • Автор: Skkddkkccv
  • Вопрос задан 3 года назад

Помогите пожалуйста с этими номерами,желательно с маленьким решением

Приложения:

Ответы

Ответ дал: Аноним
0

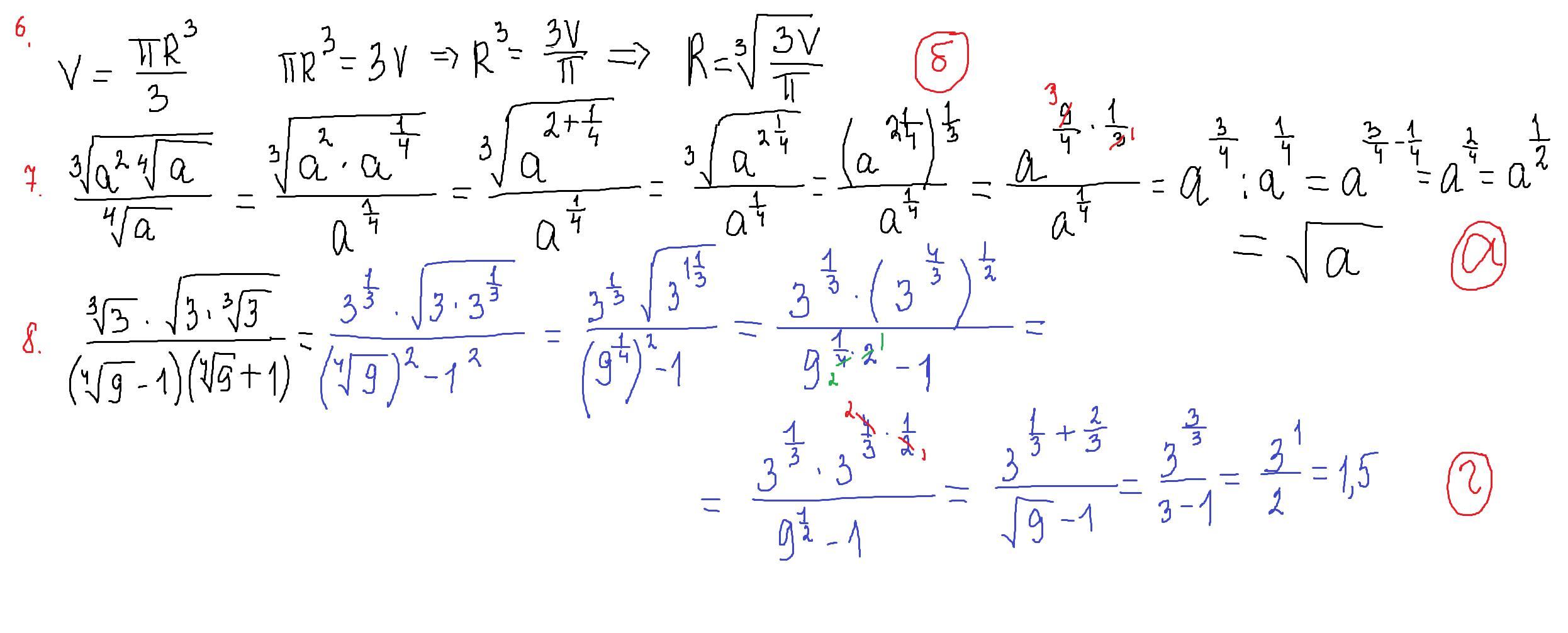
6. б)∛(3v/π)

7. а) √a , т.к. ∛(а²*а¹/⁴)/а¹/⁴=а²/³*а¹/¹²*а⁻¹/⁴=а⁸/¹²⁺¹/¹²⁻³/¹²=а⁶/¹²=а¹/²=√а

8. г) 1.5; т.к. знаменатель (√3-1)(√3+1)=3-1=2; числитель

3¹/³*3¹/²*3¹/⁶=²/⁶⁺³/⁶⁺¹/⁶=3;   3/2=1.5;

9. в) (∛а²-∛а+1)/(а+1), т.к. (∛а²-∛а+1)/(∛а²-∛а+1)*(∛а+1)=(∛а²-∛а+1)/(а+1)

10. в) 1/(b+√b+1), т.к. (b¹/²-1)/(b³/²-1)=(b¹/²-1)/(b¹/²-1)/(b+b¹/²+1)=1/(b+√b+1)


Skkddkkccv: Здравствуйте
Skkddkkccv: Я не очень
Skkddkkccv: Понимаю две цифры наверху между палочкой
Skkddkkccv: Это что
Аноним: палочка - это дробь.
Аноним: ∛ -это корень кубический.
Ответ дал: parus77
0

Ответ:

6. б)      7.  а)        8.г)

Объяснение:

решение 6-8 смотри внизу.

9-10 не уверена как решать(не решала очень давно),поэтому если хочешь-можешь отметить нарушение.

Приложения:

Skkddkkccv: Господи спасибо вам большое
Skkddkkccv: Спасибо ещё
Skkddkkccv: Раз
Skkddkkccv: Очень выручили
Вас заинтересует