• Предмет: Алгебра
  • Автор: dianchik1984
  • Вопрос задан 11 лет назад

решите уравнение 1-2(5-2х)=-х-3

Ответы

Ответ дал: michael1705
0
1-2(5-2х)=-х-3
1-10+4х=-х-3
5х=6
х=1,2
Ответ: {1,2}
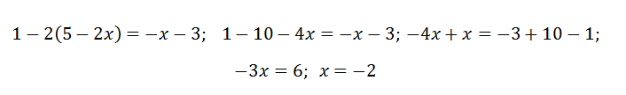
Ответ дал: urasuper123
0
вот  решение к заданию
Приложения:
Вас заинтересует