• Предмет: Математика
  • Автор: bezumnyyvoy
  • Вопрос задан 3 года назад

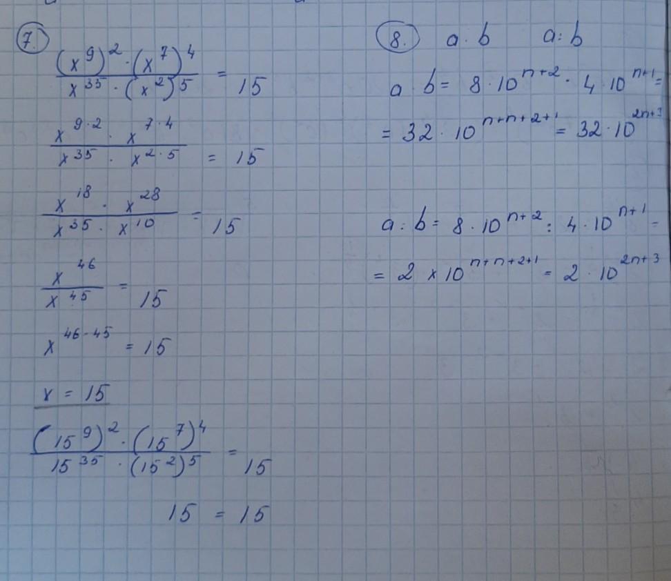
Решите срочно решением а не ток ответы

Приложения:

Ответы

Ответ дал: LikaBluebell
1

Надеюсь все понятно. Если все же что-то не понятно, пиши)

Приложения:
Вас заинтересует