• Предмет: Алгебра
  • Автор: Аноним
  • Вопрос задан 3 года назад

4Б.099 и 4Б.100 но можно хотя-бы один номер решить​

Приложения:

Ответы

Ответ дал: tamarabernukho
2

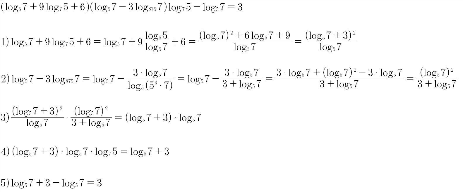
Ответ:

Объяснение:

..................................................

Приложения:
Вас заинтересует