Алгебра 7 класс срочно!!!
Решить уравнение :
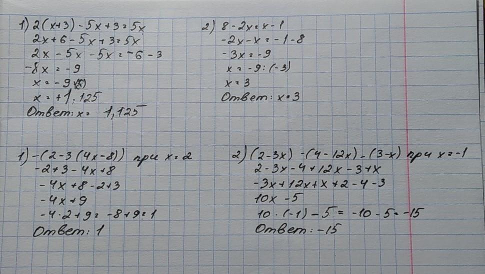
1) 2(x+3)-5x+3=5х
2)8-2х=x-1
------------
Найдите значение выражения
1) -(2-3(4x-8)) при x = 2
2) (2-3x)-(4+12x)-(3-x), при x=-1
Пожалуйста быстрее
Vlober:
-(2-3)(4x-8) при х =2
Ответы
Ответ дал:
1
не знаю правильно или нет, но решение на фото))
Приложения:

Ответ дал:
1
Ответ:
могу помочь на контрольных(и тд) по математике, отвечаю тут же id krisbryl)
Приложения:

Вас заинтересует
2 года назад
2 года назад
2 года назад
2 года назад
7 лет назад
9 лет назад