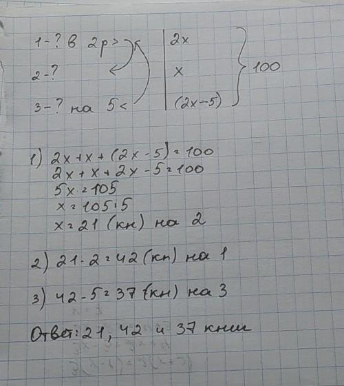
СРОЧНО!!!! На трёх полках находятся 100 книг. На первой полке в два раза больше книг, чем на второй, а на третьей — на 5 книг меньше, чем на первой. Сколько книг на каждой полке?
Ответы
Ответ дал:
1
Ответ:
42, 21 и 37
Объяснение:
решение на фото
Приложения:

Вас заинтересует
2 года назад
2 года назад
2 года назад
7 лет назад
9 лет назад