Ответы
Ответ дал:
1
Ответ:
Все просто.
Объяснение:
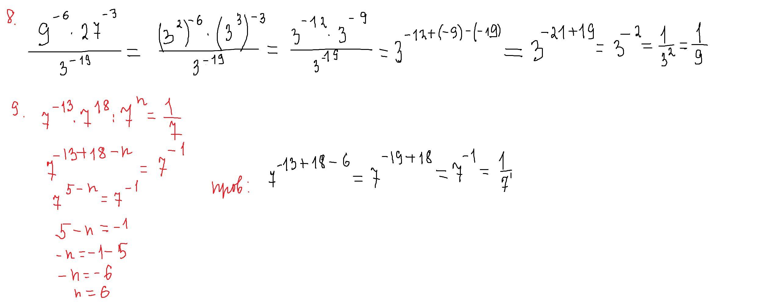
N.8
- 9^-6*27^-3/3^-19
- 3^-12*3^-9/3^-19
- 3^7*3^-9
- 3^-2
- 1/3^2
- 1/9
N.9
- 7^-13*7^18:7^n=1/7
- 7^-n+5=7^-1
- -n+5=-1
- -n=-1-5
- n=6
Ответ дал:
1
Ответ:
Объяснение:
решение смотри внизу
Приложения:

Вас заинтересует
2 года назад
2 года назад
7 лет назад
7 лет назад
9 лет назад