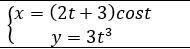
1)Продифференцировать параметрически заданную функцию
2)Продифференцировать с помощью логарифмической производной функцию
Приложения:


jivsgamer:
решите пожалуйста очень надо
Ответы
Ответ дал:
1
Ответ:
Пошаговое объяснение:
Вас заинтересует
2 года назад
2 года назад
2 года назад
7 лет назад
7 лет назад