• Предмет: Математика
  • Автор: meitsmario
  • Вопрос задан 3 года назад

8 КЛАСС!МАТЕМАТИКА!
КАК РЕШАТЬ ПОДОБНЫЕ ЗАДАНИЯ? ЗАВТРА РАБОТА, Я НЕ ЗНАЮ КАК ДЕЛАТЬ!
с подробным решением​​

Приложения:

Ответы

Ответ дал: minidream905
1

Ответ:

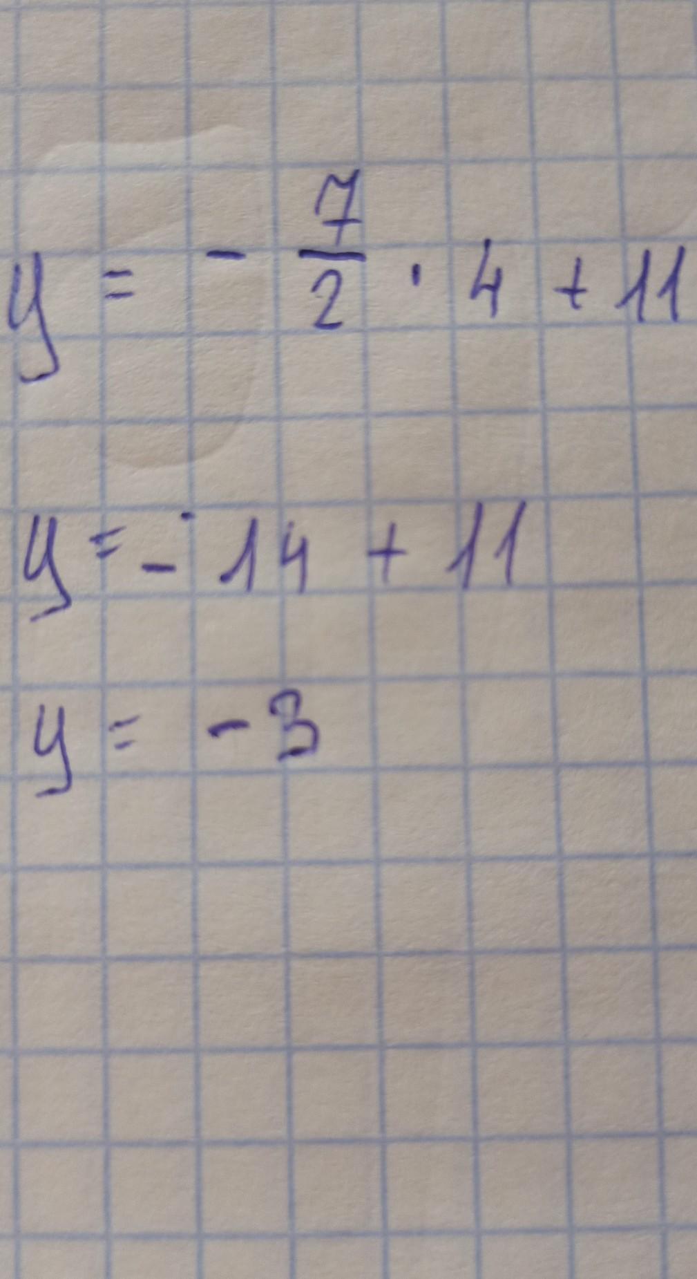
4 подставляет в пример вместо х.

Это прямя, параллельная оси ОХ.

Проходит через точку (0;-3) и любую другую, где у=-3

например (5;-3)

Приложения:
Ответ дал: parus77
1

Ответ:

у=-3

Пошаговое объяснение:

чтобы найти значение функции(т.е найти У) при х=4,надо в данное выражение подставить вместо х число 4.

у=-7\2 *4 +11=(-7 *4)\2 +11= - 28\2 +11= -14+11=-3

Вас заинтересует