• Предмет: Алгебра
  • Автор: dianochkadevlikamova
  • Вопрос задан 3 года назад

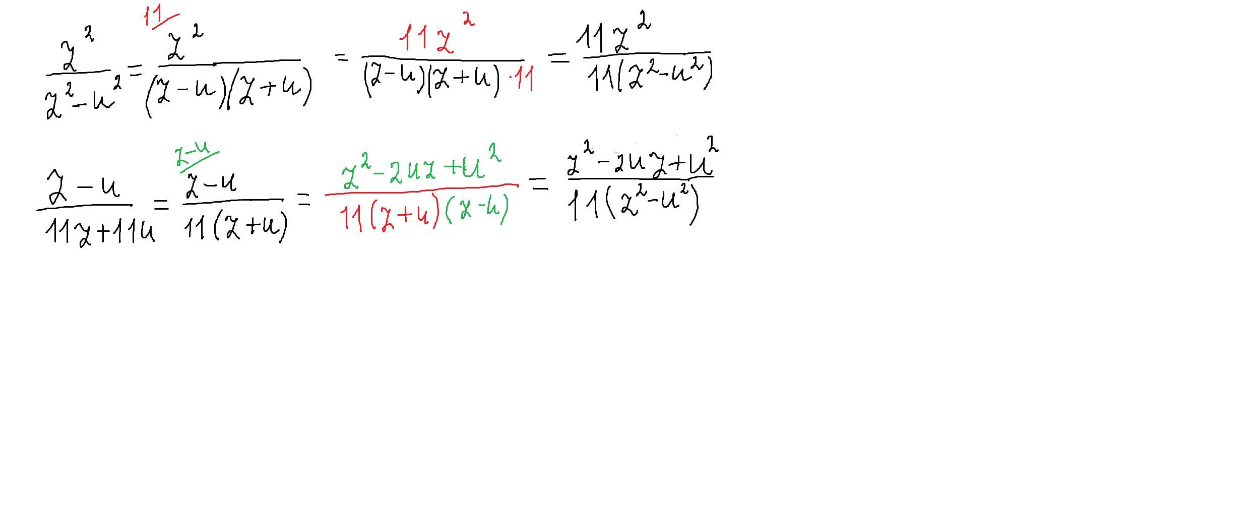
Приведи дроби ПОМОГИТЕ

Приложения:

Ответы

Ответ дал: Lollller
0

Правильный ответ:б

.....


dianochkadevlikamova: Но там нет б...
Ответ дал: parus77
0

Ответ:

верный ответ во 2 и последней строчках

Объяснение:

решение внизу

Приложения:
Вас заинтересует