• Предмет: Алгебра
  • Автор: vanlolkin
  • Вопрос задан 3 года назад

Дробное уравнение помогите пожалуйста

Приложения:

Ответы

Ответ дал: lenakan
0

Ответ:

здесь нет дробного уравнения)


lenakan: дробь, в знаменателе которой присутствует неизвестное
Ответ дал: Dimas852
0

Ответ:

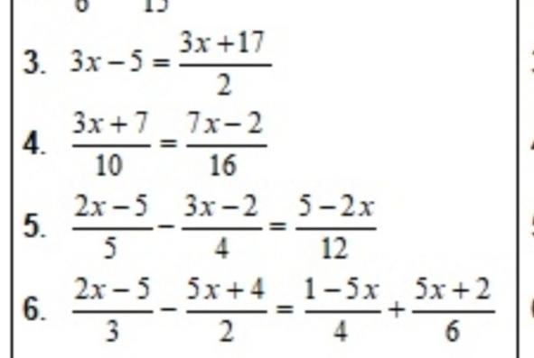
3. =

6x - 10 = 3x + 17

6x - 3x = 17 + 10

3x = 27

x = 9

4. =

16 (3x + 7) = 10 (7x-2)

48x + 112 = 70x - 20

48x - 70x = -20 -112

-22x = -132

x=6

5. =

12 (2x-5) - 15 (3x-2) = 5 (5-2x)

24x - 60 - 45x + 30 = 25 - 10x

-21x + 10x = 25 + 30

-11x = 55

x= -5

6. =

4 (2x-5) - 6 (5x+4) = 3 (1 - 5x) + 2 (5x+2)

8x-20 - 30x -24 = 3 -15x + 10x +4

-22x + 5x = 7 + 44

-17x = 51

x = -3

Вас заинтересует