Помогите мне (опять) с решением, плииз(((
Найдите значение выражения:
Приложения:

Zombynella:
Спасибо)
Ответы
Ответ дал:
1
Ответ :
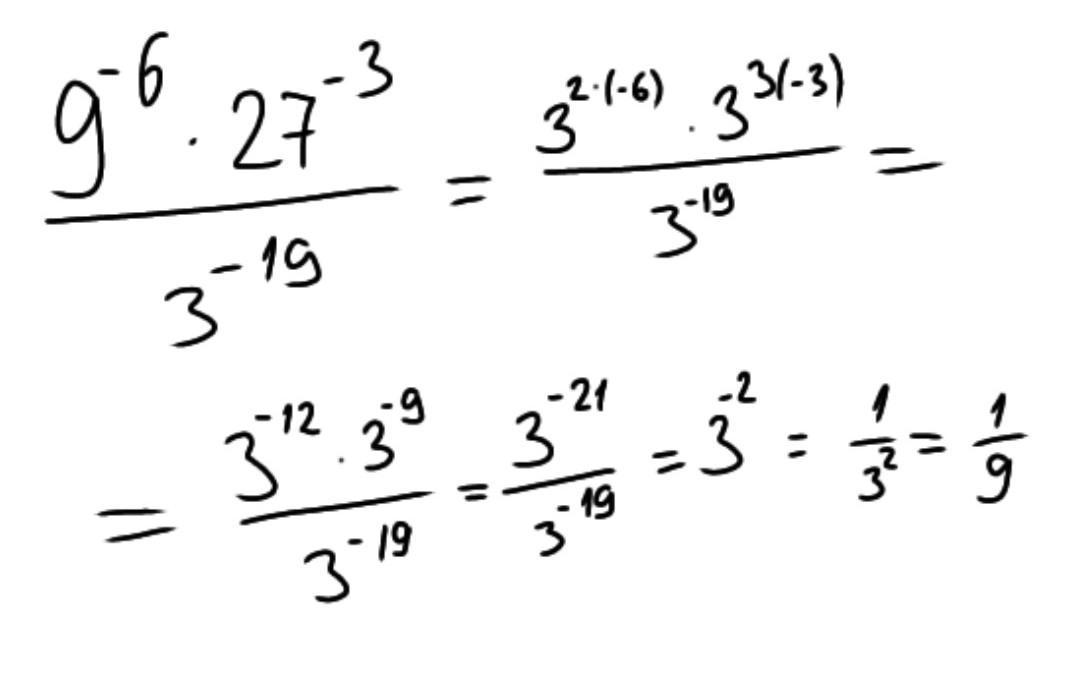
Решение :
ответ : 1/9
Приложения:

Ответ дал:
1
Ответ:
В решении.
Объяснение:
Найдите значение выражения:
(9⁻⁶ * 27⁻³) : 3⁻¹⁹ =
По действиям:
1)9⁻⁶ = (3²)⁻⁶ = 3⁻¹² (при возведении в степень показатели степеней перемножаются);
2)27⁻³ = (3³)⁻³ = 3⁻⁹;
3)9⁻⁶ * 27⁻³=
=3⁻¹² * 3⁻⁹ = 3⁻²¹ (при умножении показатели степеней складываются, основания одинаковые);
4) 3⁻²¹ = 1/3²¹;
3⁻¹⁹ = 1/3¹⁹;
1/3²¹ : 1/3¹⁹ =
=(1 * 3¹⁹) / (3²¹ * 1)=
= 3¹⁹ / 3²¹ =
=1/3² (при делении показатели степеней вычитаются, основания одинаковые) =
=1/9.
Вас заинтересует
2 года назад
2 года назад
7 лет назад
9 лет назад