• Предмет: Алгебра
  • Автор: serikdias727
  • Вопрос задан 3 года назад

помогите алгебра 6 класс

Приложения:

Ответы

Ответ дал: Dark955
0

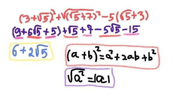
Ответ:

решение на фото

Объяснение:

преобразовываешь выражение и складываешь.

Приложения:
Вас заинтересует