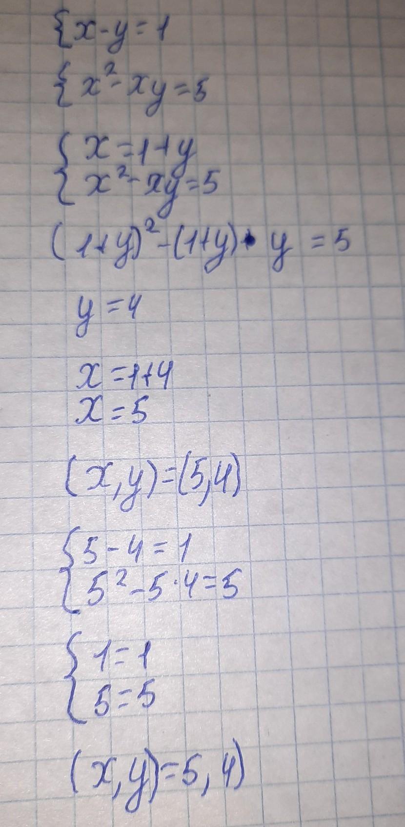
укажите значение суммы х1+у1 если известно что (х1;у1) решение системы уравнений
{х-у=1
{х²-ху=5
ПОМАГИТЕ ПЛИЗ срочно надо
Ответы
Ответ дал:
3
Я незнаю наверное так решается
Приложения:
kuksi51:
спасибо
Вас заинтересует
2 года назад
2 года назад
3 года назад
3 года назад
8 лет назад
8 лет назад
9 лет назад
9 лет назад