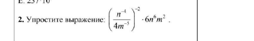
Упростите выражение. Срочно пожалуйста помогите
Приложения:

zanatovalibi09:
народ если вы сможете сделать где то на листе может скинуть фото ответов
Ответы
Ответ дал:
1
Данный ответ представлен фотографией.
Приложения:

Вас заинтересует
2 года назад
2 года назад
2 года назад
2 года назад
7 лет назад
7 лет назад
9 лет назад