• Предмет: Алгебра
  • Автор: julikortinskij
  • Вопрос задан 3 года назад

алгебра 8 класс срочно​

Приложения:

Ответы

Ответ дал: serovaksusa1
1

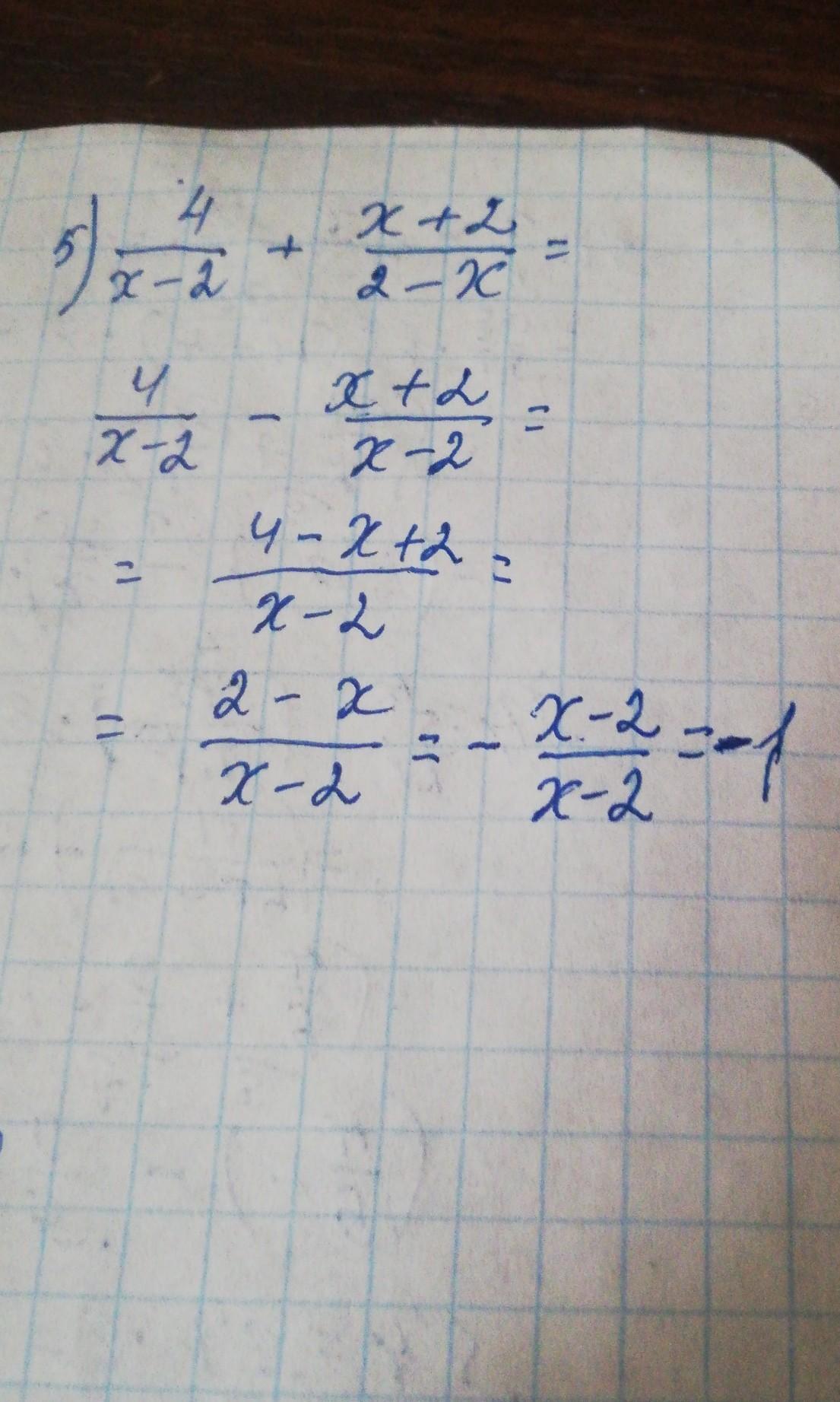
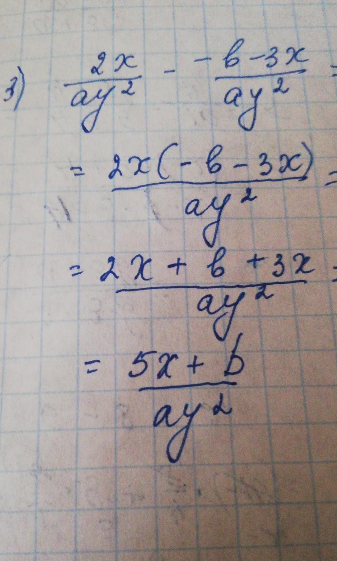
Ответ:3)+b/ay^2

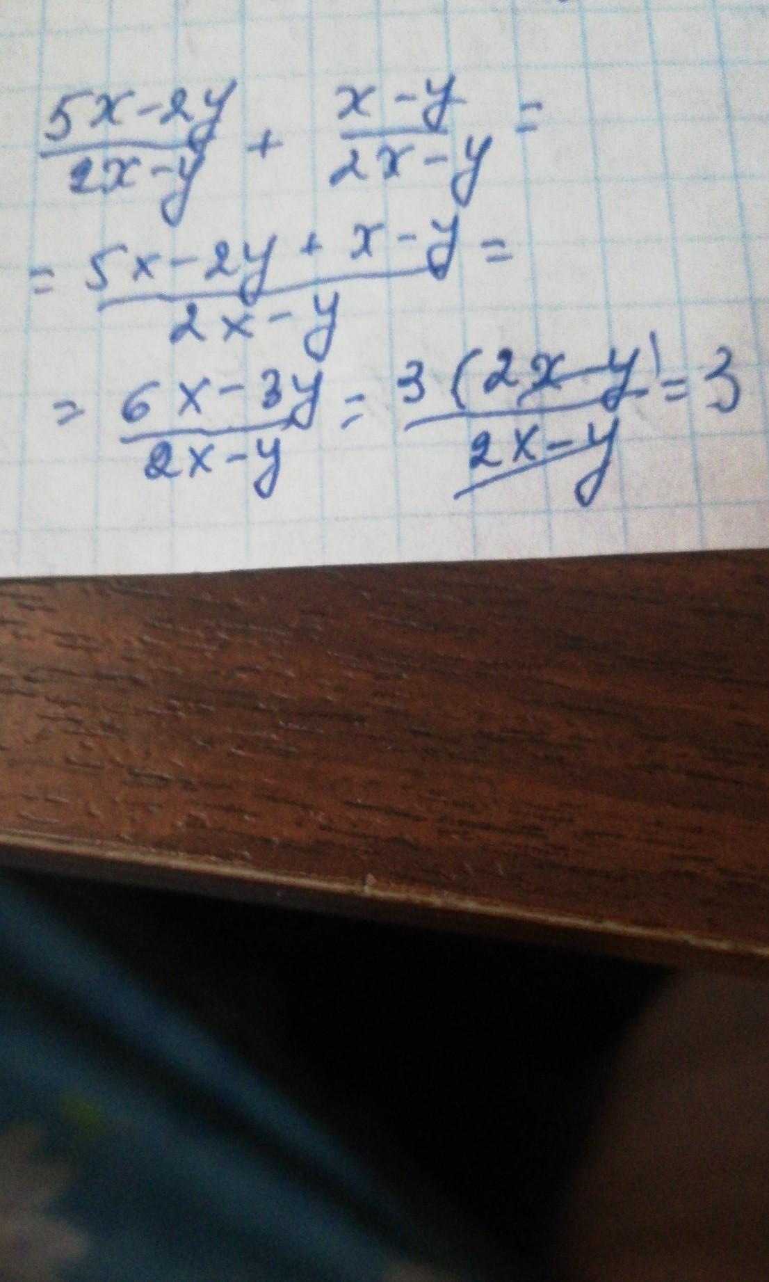
4)3 5)-1

Смотри решение на фото

Приложения:

serovaksusa1: во 2 примере ответ 3
serovaksusa1: 4 пример я отправила два фото, одно из них не доконца сделано, а другое довела до конца. в ответе будет 3
serovaksusa1: я вынесла в этом примере 3 за скобку. увидите там
serovaksusa1: увидели?
julikortinskij: да, Спасибо
Вас заинтересует