Ответы
Ответ дал:
1
Ответ:
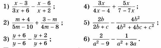
5) Упростить; 2bc/(2b+c)^2
6)Упростить; 1/2^2-3a
Объяснение:
Приложения:

Вас заинтересует
2 года назад
2 года назад
2 года назад
7 лет назад
7 лет назад
9 лет назад