Ответы
Ответ дал:
0
надеюсь помогла))))
:)
:)
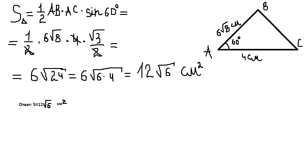
Приложения:

Вас заинтересует
2 года назад
8 лет назад
10 лет назад