• Предмет: Алгебра
  • Автор: leswq
  • Вопрос задан 3 года назад

ПОЖАЛУЙСТА ПОМОГИТЕ!
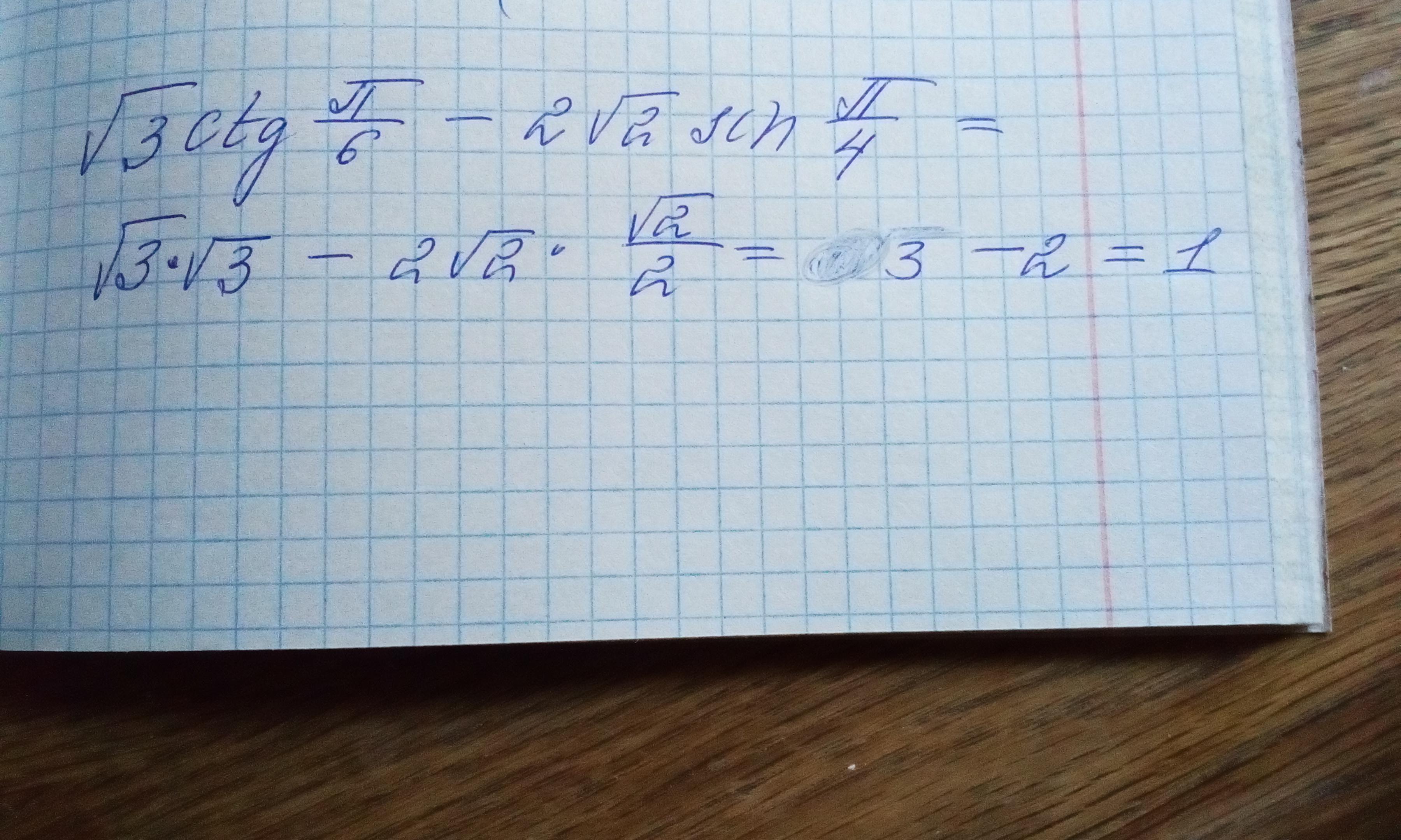
корень 3 ctg pi/6-2 корень 2 sin pi/4

Ответы

Ответ дал: m11m
3

Ответ:

Объяснение:

!!!!!!!!!!!!!!!!!!!!!

Приложения:

Аноним: изи
Вас заинтересует