Ответы
Ответ дал:
2
Ответ:
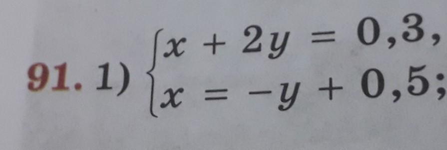
(х,у)=(0,7;—0,2)
...........................
Приложения:

tkacenkonazar487:
почему не полный ответ
Вас заинтересует
2 года назад
2 года назад
2 года назад
2 года назад
7 лет назад
7 лет назад
9 лет назад
9 лет назад