Приведите дроби к общему знаменателю. Я не понимаю как это сделать нужна помощь умных помогите мне пожалуйста!
Приложения:

Ответы
Ответ дал:
1
Ответ:
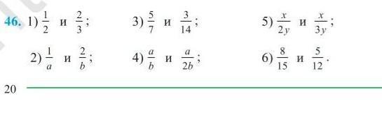
1= общий знаменатель 6 упрощаем получается 7
3=общий знаменатель 14 упрощаем получается 13
5=общий знаменатель 6у упрощаем получается 5х
2=общий знаменатель ab упрощаем получается 2a+b
4=общий знаменатель 2b упрощаем получается 3a
6=общий знаменатель 60 упрощаем получается 57
Объяснение:
na4a1nik:
Отметь как лучшим пж
Вас заинтересует
2 года назад
2 года назад
2 года назад
7 лет назад
9 лет назад