Ответы
Ответ дал:
0
Ответ дал:
0
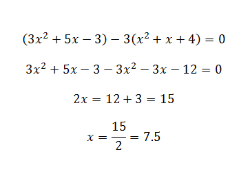
в конце x= 15/2
Ответ дал:
0
вот решение к заданию
Приложения:

Вас заинтересует
2 года назад
8 лет назад
8 лет назад
10 лет назад
10 лет назад