• Предмет: Геометрия
  • Автор: busuevdaniil072
  • Вопрос задан 3 года назад

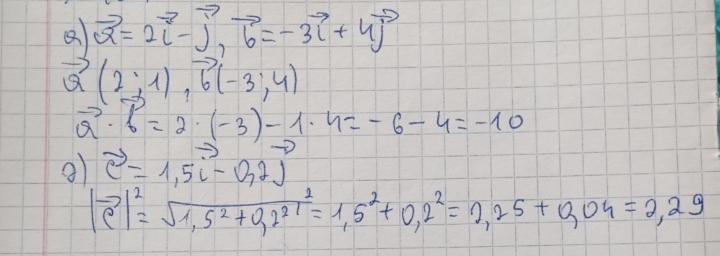
Даны векторы а=2i-j, b=-3i+4j и c=1,5i-0,2j. Найдите: а) скалярное произведение векторов а и b ; б) скалярный квадрат вектора с​

Ответы

Ответ дал: current98
50

Вот ответ,все правильно.

Приложения:
Вас заинтересует