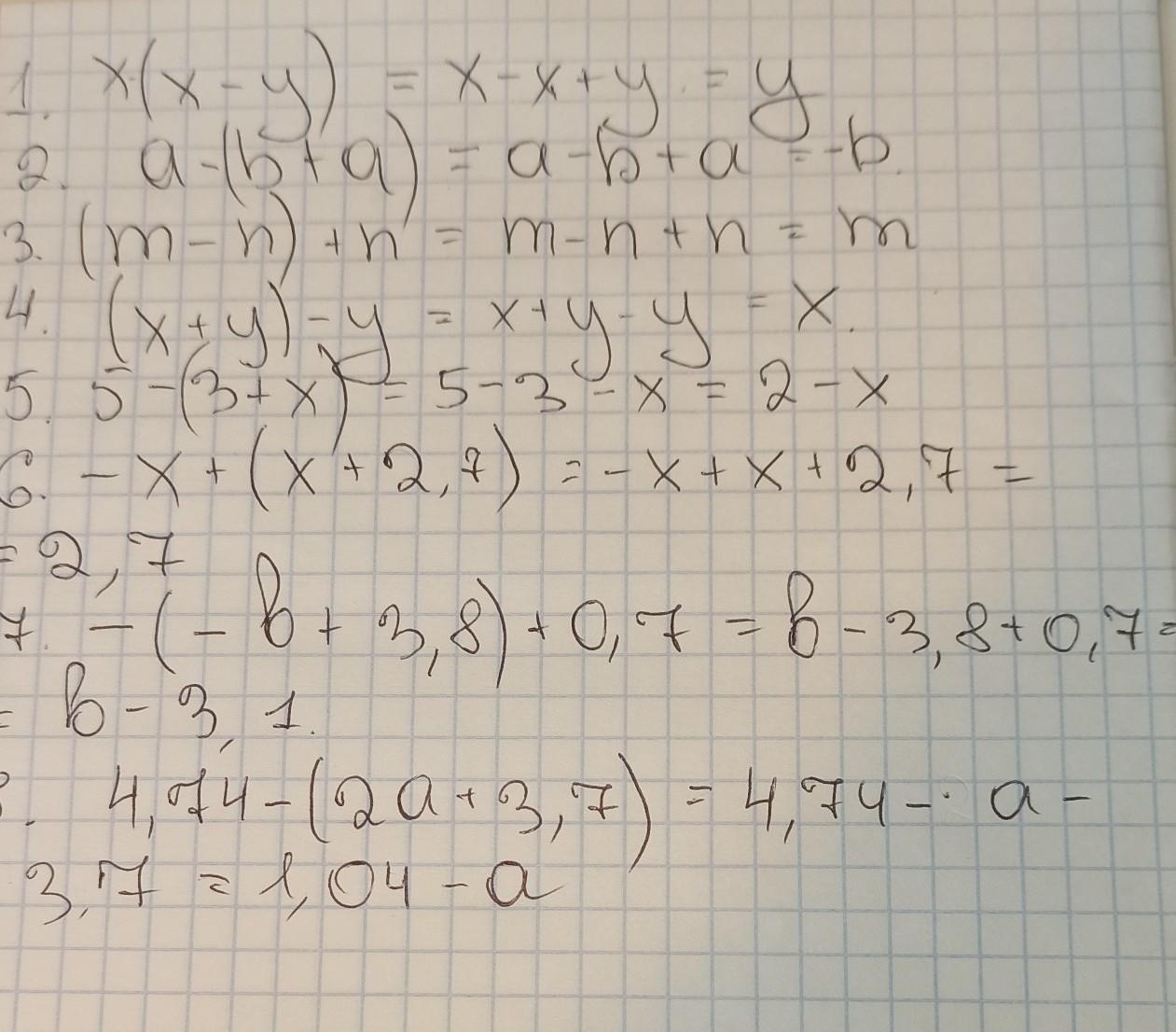
1. x-(x -y)
2. a - (b + a)
3. (m - n ) + n
4. (x + y) - y
5. 5– (3 + x)
6. – x + (x + 2,7)
7. – (– в + 3,8) + 0,7
8. 4,74 – ( 2а + 3,7) ( помогите пожалуйста срочно нужно сделать) :))
Ответы
Ответ дал:
1
если перед скобками стоит знак минус, то значит всё в скобке приобретает противоположный знак то -есть плюс
если плюс, то всё переписывается просто как есть
Приложения:

Вас заинтересует
2 года назад
2 года назад
2 года назад
7 лет назад
9 лет назад