• Предмет: Математика
  • Автор: Аноним
  • Вопрос задан 3 года назад

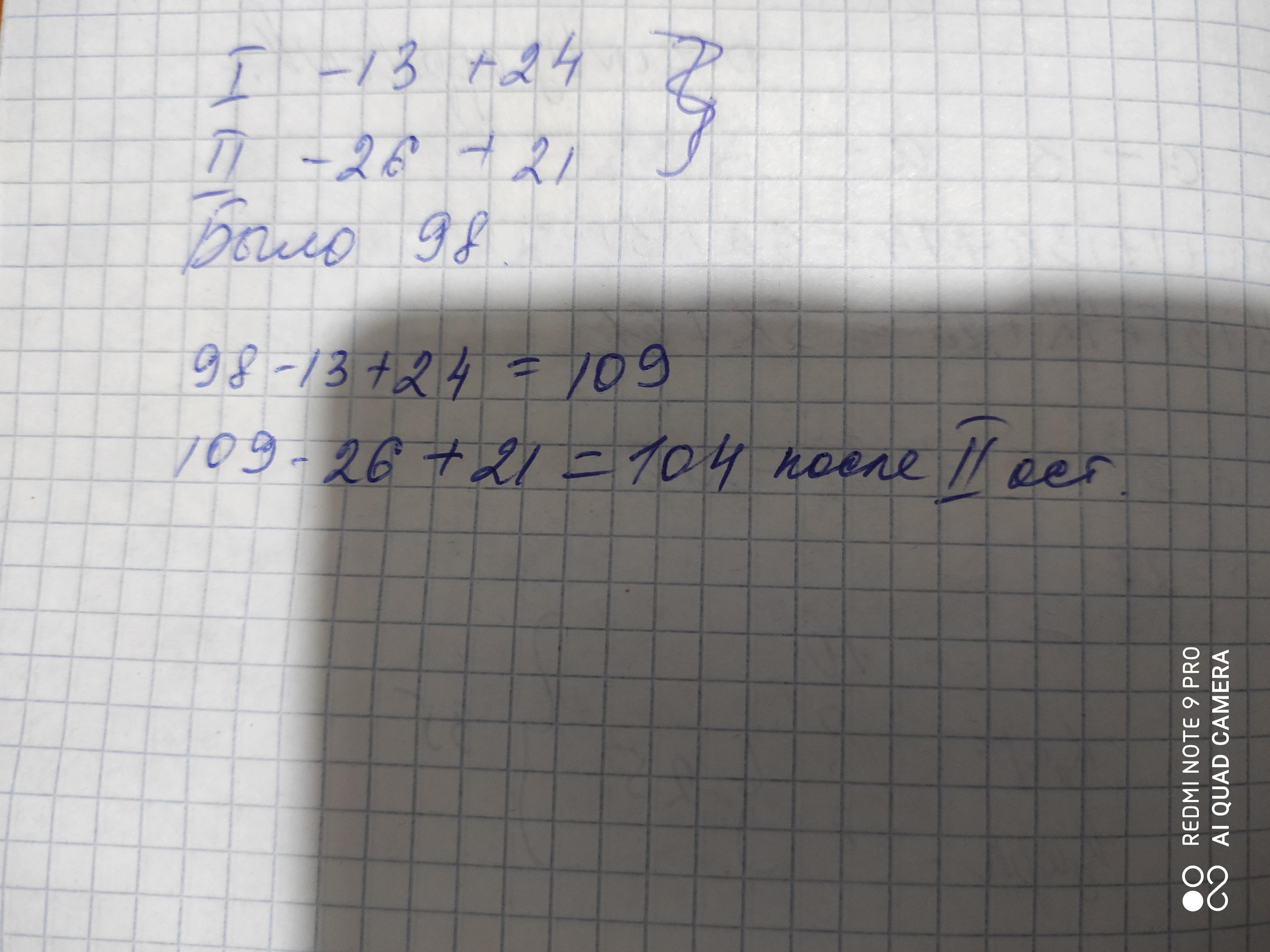
в автобусе было 98 пассажиров на первой остановке вышло 13 и вошло 24 пассажиров на второй остановке вышли 26 и пошёл 21 пассажира сколько пассажиров стало в автобусе после Второй остановки​


arinascerbakova: 94 пасажира
alinazaporozhets976: 98 - 13 + 24=109 это сколько стало людей на первой остановке, 109-26+21=94 это после второй остановки. Ответ: 94пассажира

Ответы

Ответ дал: nikitaisakov200489
3

Ответ:104

Пошаговое объяснение:98-13=85, 85+24=109, 109-26=83, 83+21=104

Ответ дал: sapievadinara
2

Ответ:

Пошаговое объяснение:

Приложения:
Вас заинтересует