• Предмет: Алгебра
  • Автор: 1Abrikosik1
  • Вопрос задан 3 года назад

будь ласка допоможіть

Приложения:

Ответы

Ответ дал: 99tasha
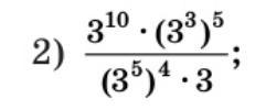
1

Решение в фото:

-----------------------------------------

Приложения:

1Abrikosik1: спасибо!)
99tasha: Пожалуйста!
Вас заинтересует