• Предмет: Математика
  • Автор: Prostohelavek
  • Вопрос задан 3 года назад

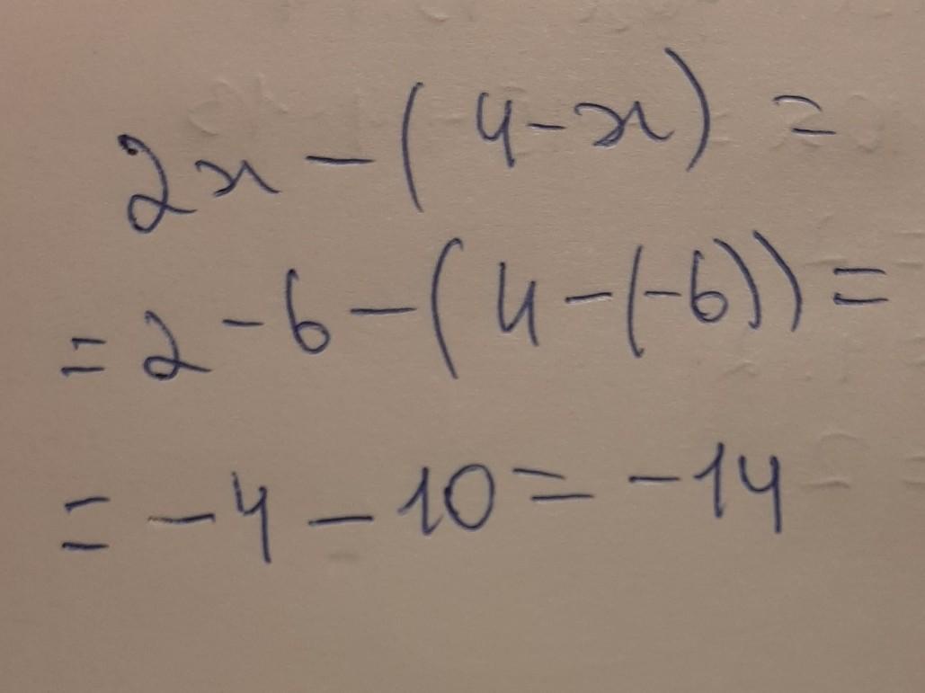
2х-(4-х)при х=-6
пожалуйста очень срочно​

Ответы

Ответ дал: matvejalekseev9552
1

Ответ:

все на листочке я написал так как решал что то подобное недавно

Приложения:
Вас заинтересует