• Предмет: Алгебра
  • Автор: budkoulia541
  • Вопрос задан 3 года назад

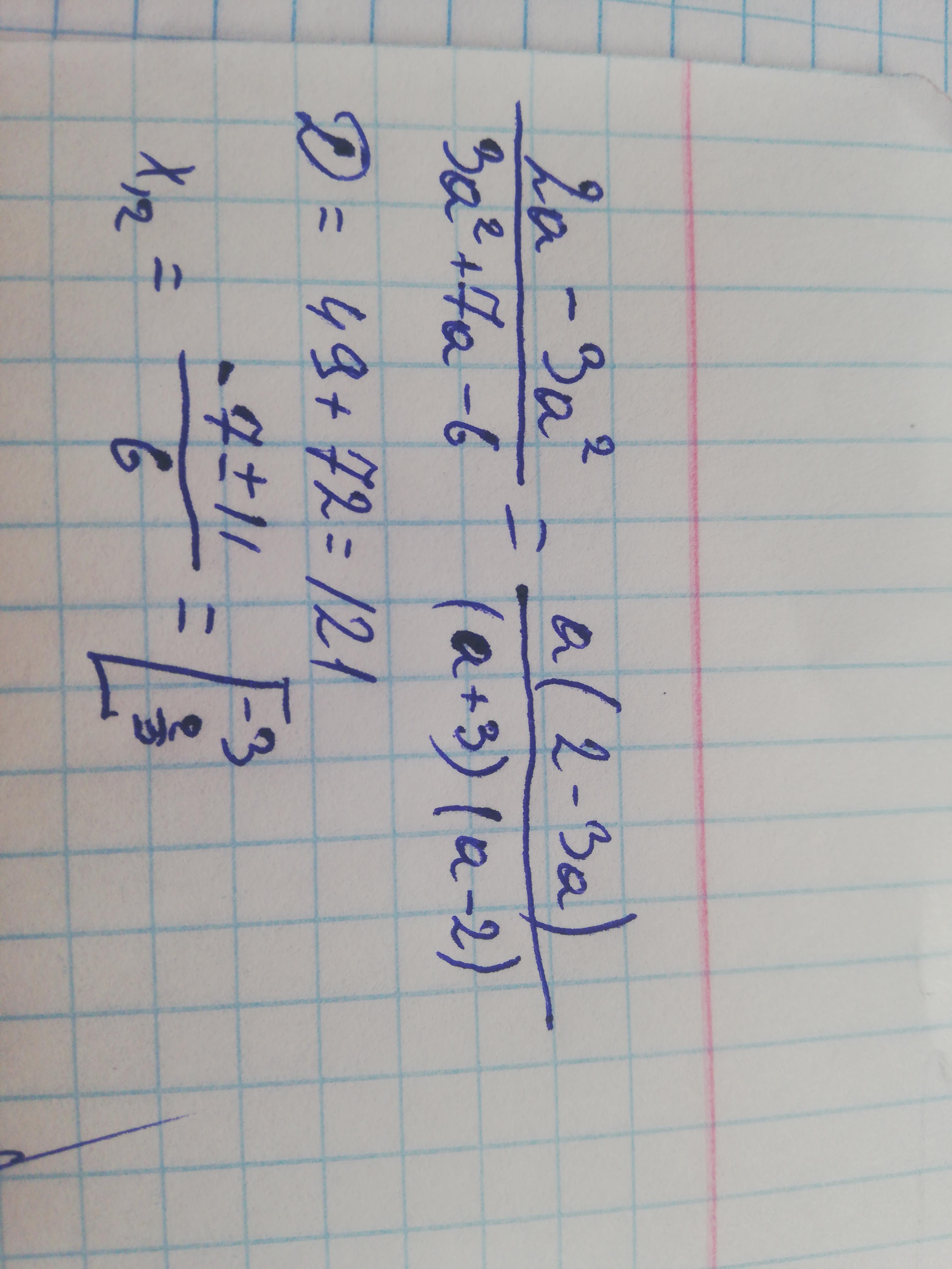
сократите дробь 2а-3а2/3а2+7а-6​

Ответы

Ответ дал: ulyanatolstushko
1

Ответ: дробь не сокращается

Приложения:
Вас заинтересует