• Предмет: Алгебра
  • Автор: Аноним
  • Вопрос задан 3 года назад

Помогите пожалуйста :3

Приложения:

Ответы

Ответ дал: Аноним
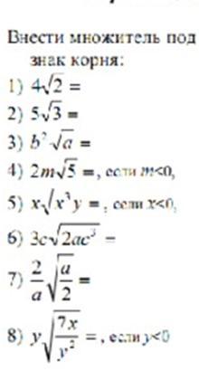
1

Ответ:

√(16*2)=√32

5√3=√50

b²√a=√ab⁴

2m√5=  -√20m²

x√x³y= -√(x⁵y)

3c√2ac³=√(18a*c⁵)

2/a √a/2=√2/a

y √7x/y²=- √7x

Объяснение:

возводишь в квадрат и вносишь в качестве множителя под корень. √(16*2)=√32

5√3=√(25*2)=√50

b²√a=√ab⁴

2m√5= -√(m²5*4)= -√20m²

x√x³y= -√(x⁵y)

3c√2ac³=√(18a*c⁵)

2/a √a/2=√(4a/2a²)=√2/a

y √7x/y²= - √(7xy²/y²)= - √7x

Вас заинтересует